Ticari Alanda Konut Skandalı: Dernek Susturuldu, Sorular Ortada Kaldı
Biz Temiz İzmir Derneği olarak hukukun gösterdiği her yolu denedik.
Kapı kapı dolaştık.
Dosya dosya belge sunduk.
Ama anladık ki bazı dosyalarda mesele hukuk değilmiş.
Mesele güçmüş.
İzmir Karşıyaka Mavişehir’de, eski Egepark AVM arsası…
İmar planlarında açık açık yazıyor: TİCARİ ALAN.
Ticari alan ne demektir?
- Ofis
- İş yeri
- Ticaret
- Hizmet
Ne değildir?
- Konut değildir
- Aile yaşamı değildir
- Çocuk odalı daire hiç değildir
Ama ne oldu?
Reklamlarda ne yazdı?
- “Ebeveyn banyolu 3+1”
- “Çocuk odalı daire”
- “Rezidans konut”
Biz bunu gördük.
Belgeledik.
Plan notlarını koyduk.
Planlı Alanlar İmar Yönetmeliği’ni koyduk.
İmar Kanunu’nu koyduk.
Ve sorduk:
Ticari alanda ebeveyn banyosu olur mu?
Çocuk odası olur mu?
İDARE MAHKEMESİ: “EHLİYET YOK”
Dava açtık.
Cevap netti:
“Derneğin menfaati yok.”
Yani:
- Kentin planı bozulabilir
- Sosyal donatı dengesi çöker
- Ticari alan fiilen konuta döner
Ama buna itiraz eden bir derneğin menfaati yoktur.
İSTİNAF: “USULE UYGUN”
İstinafa gittik.
Dedik ki:
- Dernek üyeleri bu kentte yaşıyor
- Plan ihlali doğrudan yaşamı etkiliyor
- Kamu yararı açık
Cevap:
“Usul ve hukuka uygun.”
Esasa girilmedi.
Sorular cevaplanmadı.
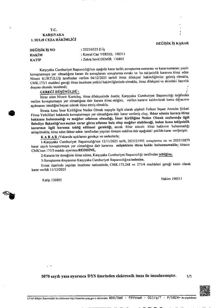
SAVCILIK: TAKİPSİZLİK
Ceza yoluna gittik.
İmar kirliliği dedik.
Görevi kötüye kullanma dedik.
Takipsizlik verildi.
İtiraz ettik.
Bu kez cevap şuydu:
“İtiraz edemezsiniz.”
Yani:
- “Suç yok” denmedi
- “Her şey hukuka uygun” denmedi
Sadece:
“Siz bunu sorgulayamazsınız.”
SONUÇ
Bugün geldiğimiz nokta şudur:
- Ticari alanda konut var
- Reklamlar ortada
- Planlar ortada
- Belgeler ortada
Ama:
- Dernek konuşamaz
- Kentli konuşamaz
- İtiraz eden “ehliyetsiz”
Demek ki bu ülkede:
Güçlüysen plan esner,
Güçlüysen hukuk susar.
Ama biz not aldık.
Kent not aldı.
Tarih not alır.
Bu dosya kapandı sanılıyor.
Ama hafıza kapanmaz.
Sırada AIHM var! (AVRUPA İNSAN HAKLARI MAHKEMESİ)



